题目内容
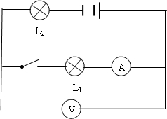
根据实物图再虚线框中画出电路图.

分析:先分析各元件的连接方式,然后用导线将各元件依次连接起来,电压表测量用电器两端的电压,是电流表串联在电路中测量电流,根据实物图完成电路图.
解答:解:该电路为串联电路,开关控制整个电路,电压表并联在L1两端,测L1两端的电压,电流表串联在电路中,测电路中的电流,将开关、灯泡顺次连接起来.如图所示:

点评:本题考查根据实物图画电路图,关键是明白实物图中各个用电器的连接方式,根据实物图画电路图是整个初中物理的难点也是中考必考的内容.
练习册系列答案
相关题目
探究电流与电压、电阻的关系.
[提出问题]通过导体的电流与导体两端电压及导体电阻的大小有什么关系?
[猜 想]①导体的电阻一定时,通过导体的电流与其两端电压成正比.
②导体的电阻一定时,通过导体的电流与其两端电压的平方成正比.
③导体两端的电压一定时,通过导体的电流与导体的电阻成反比.
[实验器材]电源(电压恒为4.5 V),电流表、电压表各一只,开关一个,三个定值电阻(5Ω、10Ω、15Ω),两只滑动变阻器(20Ω 2A、50Ω 1A),导线若干.
[实验过程](1)根据如图所示实物图在虚线框内画出电路图.

(2)小明按如图正确连接电路后,闭合开关,发现电流表有示数,电压表指针超过量程.小明操作中的错误是 .
(3)小明改正错误后继续实验,通过改变定值电阻R两端的电压,测得电流、电压的值如表一.分析数据可得出猜想 是正确的.
表一
表二
(4)小红在探究猜想③时,先将5Ω的电阻连入电路中,闭合开关,移动滑片,使与电阻并联的电压表的示数为1.5 V,并记下电流值;再分别改接10Ω、15Ω的电阻,重复上述实验,得到了表二中的实验数据.分析数据得出,猜想③是正确的.实验中,小红多次移动变阻器滑片的目的是 .
(5)小华在探究猜想③时,重新设计了电路,保持电压表的示数为3 V,得到了与表二相同的数据,也完成了实验探究.小华与小红的实验相比不同之处是: .
[知识拓展]
①小明实验时选择的是 Ω电阻.
②小红实验时选择的变阻器规格是 .
[提出问题]通过导体的电流与导体两端电压及导体电阻的大小有什么关系?
[猜 想]①导体的电阻一定时,通过导体的电流与其两端电压成正比.
②导体的电阻一定时,通过导体的电流与其两端电压的平方成正比.
③导体两端的电压一定时,通过导体的电流与导体的电阻成反比.
[实验器材]电源(电压恒为4.5 V),电流表、电压表各一只,开关一个,三个定值电阻(5Ω、10Ω、15Ω),两只滑动变阻器(20Ω 2A、50Ω 1A),导线若干.
[实验过程](1)根据如图所示实物图在虚线框内画出电路图.
(2)小明按如图正确连接电路后,闭合开关,发现电流表有示数,电压表指针超过量程.小明操作中的错误是
(3)小明改正错误后继续实验,通过改变定值电阻R两端的电压,测得电流、电压的值如表一.分析数据可得出猜想
表一
| 电压U/A | 1.2 | 1.6 | 2.0 | 2.4 | 2.8 |
| 电流I/A | 0.12 | 0.16 | 0.20 | 0.24 | 0.28 |
| 电阻R/Ω | 5 | 10 | 15 |
| 电流 I/A | 0.30 | 0.15 | 0.10 |
(5)小华在探究猜想③时,重新设计了电路,保持电压表的示数为3 V,得到了与表二相同的数据,也完成了实验探究.小华与小红的实验相比不同之处是:
[知识拓展]
①小明实验时选择的是
②小红实验时选择的变阻器规格是