题目内容

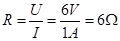
定值电阻R1和R2串联后,接在电压可调的电源两端,电路中的电流I随电源电压U变化关系的图像如图所示。已知R1=4Ω,则R2=        Ω。

 

【答案】

2

【解析】

试题分析:取图像中坐标为(6V  1A)的点,计算总电阻为

考点:串联电路 根据图像获取信息

 

练习册系列答案
相关题目
(2012?青岛模拟)回顾实验和探究:(将下列实验报告中的空缺部分填写完整)
(1)探究欧姆定律:
实验电路 请根据电路图将实物电路连接完整:
方法步骤 ①接通电路前,变阻器的滑片P应移到最
(选填“左”或“右”)端;
②在ab间接入5Ω的定值电阻R1,移动滑片P,测量并记下几组电压和电流值,填入表1;
③将R1换成10Ω的定值电阻R2,重复上述实验,填入表2.
表格
次数 1 2 3
U/V 1 2 3
I/A 0.2 0.4 0.6
表1  R1=5Ω
次数 4 5 6
U/V 1 2 3
I/A 0.1 0.2 0.3
表2  R2=10Ω
结论 ①分析表1和表2数据可知:同一导体的电压与电流比值相同,即电阻一定时,导体中的电流跟导体上的电压成
比.在右图中画出表2的U-I图象.
②分析第1、4(或2、5或3、6)次数据可知:
电压
电压
一定时,导体中的电流与电阻成反比.
(2)探究焦耳定律:


(R>R

步骤
如图,组成
联电路,在玻璃瓶中装有等量等温的煤油,利用
温度计示数
温度计示数
显示电流通过导体产生热量的多少.
现象 经过五分钟后发现:
甲玻璃瓶中温度计示数高
甲玻璃瓶中温度计示数高
(3)探究电磁感应现象
课题 探究电磁感应现象
实验步骤 ①导体不动时,电流表指针不偏转,说明电路中无电流.
②当导体向左或向右运动时,电流表的指针
偏转
偏转
(填“偏转”或“不偏转”),说明电路中
(填“有”或“无”)电流.
③当导体向上或者向下运动时,电流表的指针
不偏转
不偏转
(填“偏转”
或“不偏转”),说明电路中
(填“有”或“无”)电流.

违法和不良信息举报电话:027-86699610 举报邮箱:58377363@163.com

精英家教网