题目内容

在物理课外小组的活动中,小刚同学利用如图所示电路测滑动变阻器R的电功率,已知为定值电阻,电路A、B之间的电压为且保持不变,调节滑动变阻器的滑片P,记录电压表和电流表的示数U、I,并得到实验数据如下表:

U/V
4.5
4.0
3.5
3.0
2.5
2.0
1.5
1.0
I/A
0.15
0.2
0.25
0.3
0.35
0.4
0.45
0.5
P/W
0.68
0.8
0.88
0.9
0.88
0.8
0.68
0.5
 
(1)由上表可看出滑动变阻器功率的大小变化情况是__________。
(2)由上表可知A、B之间的电压为__________V,电阻__________
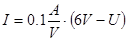
(3)由上表可得出电流I随U变化的关系式为:I=__________。

(1)先变大后变小               (2)6,10
(3)

解析

练习册系列答案
相关题目

违法和不良信息举报电话:027-86699610 举报邮箱:58377363@163.com

精英家教网