搜索
题目内容
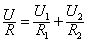
“等效替代法”是物理学中常用的一种方法。若图甲的两个电阻并联后接入电路中的效果与图乙一个电阻接入电路的效果相同,请你利用并联电路电压、电流的规律及欧姆定律推导出R与R
1
、R
2
的关系式。
试题答案
相关练习册答案
解:
由并联电路电流关系,可得:I=I
1
+I
2
又知:U=U
1
=U
2
代入上式可得:
(或
)
练习册系列答案
实验教材新学案系列答案
0系列答案
智多星创新达标考试卷系列答案
文言文完全解读系列答案
初中文言文译注及赏析系列答案
初中文言文全解一本通系列答案
超级教辅全能100分系列答案
全能测控一本好卷系列答案
黄冈小状元数学详解系列答案
高分密码培优必练系列答案
相关题目
(2008?泰安)我们在学习物理知识过程中也学到了许多科学方法,其中有等效替代法、控制变量法、类比法、实验推理法和建立理想模型法等.例如:①用合力表示作用在一个物体上的两个力;②用磁感线描述磁场;③在实验事实的基础上,经过科学推理得出牛顿第一定律;④用总电阻表示同一段电路上并联的两个电阻;⑤借助水压学习电压.上述方法属于“等效替代法”的是( )
A、①和②
B、①和⑤
C、②和③
D、①和④
9、物理研究中常用到“控制变量法”、“等效替代法”、“理想实验法”等科学方法.在下列研究实例中,运用了“等效替代法”的是( )
A、比较物体运动快慢时,在相同时间内比较物体通过的路程
B、探究牛顿第一定律的实验
C、研究滑动摩擦力与压力大小关系时,保持接触面的粗糙程度不变
D、在力的合成中,引入合力的概念
(2013?陇川县模拟)物理研究中常常会用到“控制变量法”、“等效替代法”、“类比法”、“模型法”等研究方法,下面用到“等效替代法”的是( )
A.研究磁场时,引入了磁感线来描述磁场
B.研究电流与电压关系时,控制电阻不变
C.研究电压时,我们可以通过对比水压来认识它
D.研究两个阻值为R的电阻串联时,可用一个阻值为2R的电阻来代替
物理研究中常常会用到“控制变量法”、“等效替代法”、“类比法”、“模型法”等研究方法,下面用到“等效替代法”的是( )
A.研究光现象时,引入了光线来描述光路
B.研究两个阻值为R的电阻串联时,可用一个阻值为2 R的电阻来代替
C.研究电压时,我们可以通过对比水压来认识它
D.研究电流与电压关系时,控制电阻不变
本学期物理研究中用到了“控制变量法”、“等效替代法”、“实验与科学推理法”、“理想模型法”等科学方法.在下列科学研究实例中,运用了“等效替代法”的是( )
A.研究光学时,用光线描述光的传播路径和方向
B.科学探究牛顿第一定律的实验
C.研究滑动摩擦力的大小与压力大小关系时,保持接触面的粗糙程度不变
D.在探究力的合成中,引入合力的概念
关 闭
试题分类
高中
数学
英语
物理
化学
生物
地理
初中
数学
英语
物理
化学
生物
地理
小学
数学
英语
其他
阅读理解答案
已回答习题
未回答习题
题目汇总
试卷汇总
练习册解析答案