题目内容

(4分)如图甲所示是工人利用滑轮组从竖直深井中提取泥土的情形,所用动滑轮和筐受到的总重力为20N。某次操作中,将重423N的泥土以0.4m/s的速度匀速提起,在此过程中工人的拉力F所做的功随时间变化的图像如图乙所示。细绳的质量忽略不计。

求:(1)拉力F做功的功率;

(2)利用该装置提升泥土的机械效率;

 

【答案】

(1)180W(2)94%

【解析】

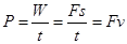
试题分析:取图像中的任一点,如 时,

    ∴

考点:滑轮组的机械效率

 

练习册系列答案
相关题目

违法和不良信息举报电话:027-86699610 举报邮箱:58377363@163.com

精英家教网