题目内容

近几年环保低碳风劲吹,混合动力汽车已成为车展上的“常客”.混合动力汽车启动时,内燃机并不工作,动力电池通过驱动电机向车轮输送能量;当高速行驶或动力电池储存电能过低时,内燃机启动,既可以向车轮输送能量,也可以同时给动力电池充电.当混合动力汽车在平直公路上以72km/h匀速行驶10min后,其内燃机消耗了汽油1.2kg,假设汽油完全燃烧所释放能量的一半转化为牵引力做功和给动力电池充电,其中动力电池储存的电能增加了7.2×106J。试求:
(1)汽油完全燃烧所释放能量是多少焦耳?(2分)
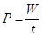
(2)牵引力做功多少焦耳?牵引力的功率是多少?(3分)
(3)汽车受到的阻力是多大?(汽油的热值q=4.6×107J/kg)(2分)

(1)5.52×107J(2)3.4×104W(3)

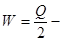
解析试题分析:根据燃料燃烧放出热量公式Q=mq可计算汽油完全燃烧所释放能量.牵引力做功等于汽油完全燃烧所释放能量的一半减去动力电池储存的电能,根据功率公式可计算牵引力的功率.根据W=FS可计算汽车受到的阻力.
(1)Q=mq=1.2kg×4.6×107J/kg=5.52×107J
(2)W=-7.2×106J=2.04×107J
10min=600s
3.4×104W
(3)汽车匀速直线运动,F=F牵引
V=72km/h=20m/s
F=F牵引
考点:热量的计算、功的计算、功率的计算
点评:解决本题的关键是对燃料燃烧放出热量公式,功率公式,做功公式的熟练掌握,并且会灵活应用.

练习册系列答案
相关题目

违法和不良信息举报电话:027-86699610 举报邮箱:58377363@163.com

精英家教网