题目内容

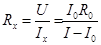
如图所示,电源电压不变,小利想用调好的电流表和阻值己知的定值电阻R0测量未知电阻Rx的阻值,①当闭合开关S1和S2,断开S3时,电流表只测量R0的电流为I0;②当闭合开关S1、S2和S3时,电流表测量R0和Rx的电流为I;根据实验要求,请用I0、I和R0表示Rx,Rx__________

 

 

【答案】

【解析】

试题分析:当闭合开关S1和S2,断开S3时,电流表只测量R0的电流为I0,则电源电压,当闭合开关S1、S2和S3时,电流表测量R0和Rx的电流为I,通过Rx的电流Ix=I-I0,此时R0与Rx并联,Rx的阻值.故答案为:

考点:欧姆定律的应用;并联电路的电流、电压规律

 

练习册系列答案
相关题目

违法和不良信息举报电话:027-86699610 举报邮箱:58377363@163.com

精英家教网