题目内容

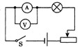
如图所示的电路,闭合开关,小灯泡正常发光。若将小灯泡和电流表的位置互换,则闭合开关后的现象是

A.小灯泡不发光,电压表没有示数
B.小灯泡不发光,电流表没有示数
C.小灯泡正常发光,电压表没有示数
D.小灯泡正常发光,电流表没有示数

C

解析试题分析:若将小灯泡和电流表的位置互换,

不会影响电路电流,所以灯泡仍正常发光,电流表示数不变;
原来电压表测灯泡两端电压,位置互换电压表测电流表两端电压,电流表的电阻几乎为0,相当于导线,电压表被短路故示数为0.
故选C.
考点:欧姆定律的应用;电流表的使用;电压表的使用.
点评:本题考查了学生分析电路图的能力,解题的关键是知道电流表在电路中的作用相当于导线.

练习册系列答案
相关题目

违法和不良信息举报电话:027-86699610 举报邮箱:58377363@163.com

精英家教网