题目内容

如图所示电路中,灯泡L标有“3V 0.9W”,滑动变阻器R上标有“50Ω 1A”的字样,电压表量程为0~3V,电流表量程为0~0.6A,电源电压4.5V.在保证电路中各元件安全工作的前提下,移动滑动变阻器滑片的位置,以调节灯泡L的亮度,实验中,灯泡L实际功率的最大值可达        W,最小值可达        W.(不计灯泡灯丝电阻的变化)

 

 

【答案】

0.9W;0.225W

【解析】

试题分析:(1)灯泡正常发光时:灯丝电流为 ,灯丝电阻为

  此时 ,滑动变阻器接入电路的阻值为,此时电压表的示数为,在这种情况下,电压表、电流表都没有超过量程,0.3A的电流也小于滑动变阻器能承受的最大电流,所以各用电器、电表都是安全的,灯泡的最大实际功率可以达到其额定功率0.9W;

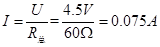
(2)滑片向右移动时,滑动变阻器接入电路的阻值增大,使电路中电流减小,灯泡的实际功率减小,若滑动变阻器接入电路的阻值为其最大阻值50Ω,则 

   这已超过了电压表的量程,所以滑动变阻器不能全部接入电路。当电压表示数为3V时,,此时小灯泡的实际功率最小,最小值为

考点:欧姆定律 电功率

 

练习册系列答案
相关题目

违法和不良信息举报电话:027-86699610 举报邮箱:58377363@163.com

精英家教网