ÌâÄ¿ÄÚÈÝ

ÔÚ¡°²âδ֪µç×èRxµÄ×èÖµ¡±ÊµÑéÖУ¬ÇëÍê³ÉÏÂÁÐÏà¹ØÎÊÌ⣺

£¨1£©Óñʻ­Ïß´úÌæµ¼Ïß½«Í¼¼×ÖеÄʵÎïÁ¬½ÓÍêÕû.

£¨2£©°ÑµÚ¶þ´Î²âÁ¿Ê±£¬Í¼ÒÒËùʾµÄµçѹ±íºÍµçÁ÷±íµÄʾÊýÌîÈë±íÖÐÏàӦλÖÃ.

£¨3£©ÁíÓÐͬѧÉè¼ÆÁËÈçÏÂͼÁ½ÖÖ²âÁ¿·½°¸£¬·½°¸Öж¨Öµµç×èµÄ×èֵΪR0£®

¢Ù·½°¸Ò»µÄµç·ÖУ¬±ÕºÏ¿ª¹ØS£¬Èç¹ûµçѹ±íV1ºÍV2µÄ¶ÁÊý·Ö±ðΪU1ºÍU2£¬ÔòRxµÄ×èÖµ±í´ïʽΪRx=     £»

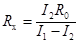
¢Ú·½°¸¶þµÄµç·ÖУ¬±ÕºÏ¿ª¹ØS£¬Èç¹ûµçÁ÷±íA1ºÍA2¶ÁÊý·Ö±ðΪI1ºÍI2£¬Ôòµç×èRxµÄ×èÖµ±í´ïʽΪRx=     .

 

¡¾´ð°¸¡¿

£¨1£©ÈçÏÂͼËùʾ£º

£¨2£©¢Ù1.8V  ¢Ú 0.36A  (3) ¢Ù  ¢Ú

¡¾½âÎö¡¿

ÊÔÌâ·ÖÎö£º£¨1£©µçѹ±íÓ¦ÓëRx²¢Áª£»£¨2£©µçѹ±íµÄÁ¿³ÌΪ0-3V£¬·Ö¶ÈֵΪ0.1V£¬ËùÒÔʾÊýΪ1.8V£»µçÁ÷±íµÄÁ¿³ÌΪ0-0.6A£¬·Ö¶ÈֵΪ0.02A£¬ËùÒÔʾÊýΪ0.36A£»£¨3£©¢Ù£¬ RxÁ½¶ËµçѹΪ£¬Ôò  ¢Ú£¬   £¬

¿¼µã£º²âÁ¿µç×èµÄÌØÊâ·½·¨

 

Á·Ï°²áϵÁдð°¸
Ïà¹ØÌâÄ¿
ÔÚ¡°²âδ֪µç×èRxµÄ×èÖµ¡±ÊµÑéÖУ¬ÇëÍê³ÉÏÂÁÐÏà¹ØÎÊÌ⣺
£¨1£©Óñʻ­Ïß´úÌæµ¼Ïß½«Í¼1ÖеÄʵÎïÁ¬½ÓÍêÕû£®

£¨2£©°ÑµÚ¶þ´Î²âÁ¿Ê±£¬Í¼1ºÍͼ2ËùʾµÄµçѹ±íºÍµçÁ÷±íµÄʾÊýÌîÈë±íÖÐÏàÓ¦µÄλÖã®
ʵÑé´ÎÊý µçѹ/V µçÁ÷/A
1 1.2 0.24
2
1.8
1.8
0.36
0.36
3 2.4 0.48
£¨3£©´¦Àí±íÖмǼµÄ¸÷´ÎʵÑéÊý¾Ý£¬µÃ³öδ֪µç×èRxµÄ×èֵΪ
5
5
¦¸£®
£¨4£©ÔÚÐí¶àʵÑéÖж¼ÐèÒª½øÐжà´Î²âÁ¿£¬ÓеÄÊÇΪÁË´Ó²»Í¬Çé¿öÖÐÕÒµ½ÆÕ±é¹æÂÉ£¬ÓеÄÊÇΪÁËÇ󯽾ùÖµÒÔ¼õСÎó²î£®ÄãÈÏΪÏÂÁÐʵÑéÖжà´Î²âÁ¿µÄÄ¿µÄÓ뱾ʵÑéÏàͬµÄÊÇ
A
A

A£®²âÁ¿ÎïÌåµÄ³¤¶È           B£®Ì½¾¿ÖØÁ¦´óСÓëÖÊÁ¿µÄ¹ØÏµ
C£®Ì½¾¿¸Ü¸ËµÄƽºâÌõ¼þ       D£®Ì½¾¿Í¨¹ýµ¼ÌåµÄµçÁ÷Óëµçѹ¡¢µç×èµÄ¹ØÏµ
£¨5£©ÁíÓÐͬѧÉè¼ÆÁËÏÂÁжþÖÖ²âÁ¿·½°¸£¬·½°¸Öж¨Öµµç×èµÄ×èֵΪR0£®

¢Ù·½°¸Ò»Èçͼ4ËùʾµÄµç·£¬µ±±ÕºÏ¿ª¹ØS£¬Èç¹ûµçѹ±íV1ºÍV2µÄ¶ÁÊý·Ö±ðΪU1ºÍU2£¬Ôòµç×èRxµÄ×èÖµµÄ±í´ïʽΪRx=
U2
U1
?R0
U2
U1
?R0
£¨ÓÃU1¡¢U2ºÍR0±íʾ£©£»
¢Ú·½°¸¶þÈçͼ5ËùʾµÄµç·£¬µ±±ÕºÏ¿ª¹ØS£¬Èç¹ûµçÁ÷±íA1ºÍA2µÄ¶ÁÊý·Ö±ðΪI1ºÍI2£¬Ôòµç×èRxµÄ±í´ïʽΪRx=
I2R0
I1-I2
I2R0
I1-I2
£¨ÓÃI1¡¢I2ºÍR0±íʾ£©£®

Î¥·¨ºÍ²»Á¼ÐÅÏ¢¾Ù±¨µç»°£º027-86699610 ¾Ù±¨ÓÊÏ䣺58377363@163.com

¾«Ó¢¼Ò½ÌÍø