ÌâÄ¿ÄÚÈÝ

ͼÖÐËùʾµç·ÖУ¬µçÔ´µçѹ±£³Ö²»±ä¡£µ±»¬Æ¬P»¬ÖÁA¶Ë£¬±ÕºÏ¿ª¹ØS1ºÍS2ʱ£¬µçÁ÷±íµÄʾÊýΪI1£¬µçѹ±íµÄʾÊýΪU1£»µ±»¬Æ¬P»¬ÖÁA¶Ë£¬Ö»±ÕºÏ¿ª¹ØS1ʱ£¬µçÁ÷±íµÄʾÊýΪI2£¬µçѹ±íµÄʾÊýΪU1¡ä£¬µç×èR1ÏûºÄµÄµç¹¦ÂÊΪP1¡ä£»µ±»¬Æ¬P»¬ÖÁB¶Ë£¬Ö»±ÕºÏ¿ª¹ØS1ʱ£¬µçÁ÷±íµÄʾÊýΪI3£¬µç×èR2ÏûºÄµÄµç¹¦ÂÊΪP2¡å£¬´ËʱP2¡åºÍP1¡ä Ç¡ºÃÏàµÈ£¬ÇÒµç×èR3ÏûºÄµÄµç¹¦ÂÊΪ6 W¡£ÈôU1¡ÃU1¡ä£½5¡Ã1£¬Çó£º

£¨1£©I1ºÍI2Ö®±È£»

£¨2£©R1ºÍR3Ö®±È£»

£¨3£©»¬Æ¬P»¬ÖÁA¶Ë£¬Ö»±ÕºÏ¿ª¹ØS1ʱ£¬µç×èR2ÏûºÄµÄµç¹¦ÂÊ¡£

 

¡¾´ð°¸¡¿

£¨1£©5¡Ã1£»£¨2£©1¡Ã5£»£¨3£©19.2W

¡¾½âÎö¡¿

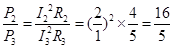
ÊÔÌâ·ÖÎö£º£¨1£©µ±»¬Æ¬P»¬ÖÁA¶Ë£¬±ÕºÏ¿ª¹ØS1ºÍS2ʱ£¬R2¶Ì·£¬±ä×èÆ÷ûÓеç×è½ÓÈëµç·£¬Ö»ÓÐR1½ÓÈëµç·£¨Èçͼ1£©£¬R1Á½¶ËµçѹµÈÓÚµçÁ÷µçѹ¼´U1=U£®µ±»¬Æ¬P»¬ÖÁA¶Ë£¬Ö»±ÕºÏ¿ª¹ØS1ʱ£¬R1ºÍR2´®Áª£¨Èçͼ2£©£¬µçѹ±íµÄʾÊýΪU1¡ä£¬U1ºÍU1¡ä¶¼ÊÇR1µçѹ£¬ÒÑÖªU1¡ÃU1¡ä£½5¡Ã1£¬ËùÒÔ£¬£»£¨2£©ÒòΪU1=U£¬U1¡ÃU1¡ä£½5¡Ã1ËùÒÔU¡ÃU1¡ä£½5¡Ã1£¬¸ù¾Ý´®Áªµç·Öеçѹ֮±ÈµÈÓÚµç×èÖ®±ÈµÃ£¬£¬½âµÃ:¡­¢Ù£®µ±»¬Æ¬P»¬ÖÁB¶Ë£¬Ö»±ÕºÏ¿ª¹ØS1ʱ£¬R1¡¢R2¡¢R3´®Áª£¨Èçͼ3£©£¬µçÁ÷±íµÄʾÊýΪI3£¬µç×èR2ÏûºÄµÄµç¹¦ÂÊΪP2¡å£¬´ËʱP2¡åºÍP1¡äÇ¡ºÃÏàµÈ£¬¸ù¾ÝP1¡ä=I22R1£¬P2¡å=I32R2£¬¿ÉµÃI22R1=I32R2¡­¢Ú£¬½«¢Ù´úÈë¢ÚµÃ£¬ÓÖÒòΪµçÔ´Á½¶Ëµçѹ²»±ä£¬ÔòÓУ¬½âµÃ£º¡­¢Û£¬½«¢Ù´úÈë¢ÛµÃ£¬¼´£»

£¨3£©ÒòΪ£¬£¬ËùÒÔ£¬ÓÖÒòΪ£¬ËùÒÔ£¬½«P3=6W´úÈëµÃ£ºµç×èR2ÏûºÄµÄµç¹¦ÂÊP2=19.2W£®¹Ê´ð°¸Îª£º£¨1£©I1ºÍI2Ö®±ÈΪ5¡Ã1£»£¨2£©R1ºÍR3Ö®±ÈΪ1¡Ã5£»£¨3£©»¬Æ¬P»¬ÖÁA¶Ë£¬Ö»±ÕºÏ¿ª¹ØS1ʱ£¬µç×èR2ÏûºÄµÄµç¹¦ÂÊΪ19.2W£®

¿¼µã£ºµç¹¦ÂʵļÆË㣻ŷķ¶¨ÂɵÄÓ¦Óã»´®Áªµç·µÄµçÁ÷¡¢µçÑ¹ÌØµã

 

Á·Ï°²áϵÁдð°¸
Ïà¹ØÌâÄ¿
£¨2013?Õò½­£©ÎªÁ˽ÚÄÜ£¬ÕýÃ÷ÖÐѧΪ½ÌÊÒ°²×°ÁË¹â¿ØÕÕÃ÷ϵͳ£¬ÓÐЧ±ÜÃâÁË¡°³¤Ã÷µÆ¡±µÄÏÖÏó£®¹â¿ØÏµÍ³ÓùâÃôµç×è¿ØÖÆ£¬¹âÃôµç×èÊÇ×èÖµËæ×ŹâµÄÕÕ¶È¸Ä±ä¶ø·¢Éú±ä»¯µÄÔª¼þ£¨¹âԽǿ£¬ÕÕ¶ÈÔ½´ó£¬Õնȵĵ¥Î»Îª1x£©£®Ä³¹âÃôµç×èRPÔÚ²»Í¬ÕÕ¶ÈϵÄ×èÖµÈçÏÂ±í£º
ÕÕ¶È£¨lx£© 0.2 0.4 0.6 0.8 1.0 1.2
µç×裨k¦¸£© 75 40 28 23 20 18
£¨1£©¸ù¾Ý±íÖÐÊý¾Ý£¬ÇëÔÚͼ1×ø±êÖ½ÖÐÃè»æ³ö¹âÃôµç×èËæÕնȱ仯µÄͼÏߣ®Æä×èÖµËæÕնȱ仯µÄ¹æÂÉÊÇ
¹âÃôµç×èµÄ×èÖµËæ¹âÕÕÇ¿¶ÈµÄÔö´ó¶ø¼õС
¹âÃôµç×èµÄ×èÖµËæ¹âÕÕÇ¿¶ÈµÄÔö´ó¶ø¼õС
£»
£¨2£©Èçͼ2Ëùʾ£¬µ±1¡¢2¼äµçѹÉÏÉýÖÁ4Vʱ£¬¿ØÖƵç·×Ô¶¯Æô¶¯ÕÕÃ÷µç·£®ÇëÀûÓÃËù¸øÆ÷²ÄÔÚͼ2ÐéÏß¿òÄÚÉè¼ÆÒ»¸öµç·£¬¸ø1¡¢2Á½¶ËÌṩµçѹ£¬²¢ÒªÇóµ±ÌìÉ«½¥°µÕնȽµÖÁ1.0£¨lx£©Ê±£¬ÕÕÃ÷µç·Æô¶¯£®£¨¿ØÖƵç·¶ÔÄãËùÉè¼Æµç·ÎÞÓ°Ï죩
Æ÷²Ä£ºµçÔ´£¨µçѹΪ6V£©£¬¿ª¹ØS¼°µ¼ÏßÈô¸É£¬ÆäËûÆ÷²ÄÈçÏÂ±í£®
Æ÷²Ä µç··ûºÅ ¹æ¸ñ¼°ËµÃ÷
¹âÃôµç×è Ì⣨1£©ÖеĹâÃôµç×èRp
µç×èÏä ×èÖµ¿Éµ÷¡¢¿É¶Á³ö£¬µ÷½Ú·¶Î§£º0-99.9k¦¸
ÔÚÄãËùÉè¼ÆµÄµç·ÖУ¬µç×èÏäµÄ×èÖµÓ¦µ÷ÖÁ
10
10
k¦¸£»
£¨3£©Ä³Í¬Ñ§ÔÚ¶ÔËùÉè¼ÆµÄµç·½øÐе÷ÊÔʱ£¬·¢ÏÖÕÕÃ÷µç·¹ýÔçÆô¶¯£®ÇëÄãÌá³öÒ»¸ö¿ÉÐеĽâ¾ö°ì·¨£º
Ôö´óµç×èÏäRµÄ×èÖµ£®
Ôö´óµç×èÏäRµÄ×èÖµ£®
£®
ijÎïÀíÐËȤС×é×ö¡°Ì½¾¿µ¼Ìåµç×è´óСÓëµ¼Ì峤¶ÈµÄ¹ØÏµ¡±ÊµÑ飮ËûÃÇÔÚÈçͼ16Ëùʾµç·ÖеÄA¡¢BÁ½µã¼ä½ÓÈë´ýÑо¿µÄµç×èË¿£¬µçÔ´µçѹºã¶¨£®ºöÂÔµç×èË¿µç×èËæÎ¶ȱ仯µÄÓ°Ï죬´ýÓõç×èË¿µÄ¹æ¸ñÈçÏÂ±í£®
ÐòºÅ ²ÄÁÏ ³¤¶È ºá½ØÃæ»ý
1 Ì¿¸ÖºÏ½ðË¿ L S
2 Äø¸õºÏ½ðË¿ 2L S
3 Äø¸õºÏ½ðË¿ L 2S
4 Äø¸õºÏ½ðË¿ 2L 2S
£¨1£©ËûÃÇӦѡÔñÐòºÅΪ
3Óë4
3Óë4
µÄÁ½¸ùµç×èË¿À´Ñо¿£»
£¨2£©ÊµÑéÖУ¬Á½´ÎµçÁ÷±íÖ¸Õë¾ùÓÐÆ«×ª£¬µ«µÚ¶þ´ÎµÄʾÊýСÓÚµÚÒ»´ÎµÄʾÊý£¬ËµÃ÷µÚ¶þ´Î½ÓÈëµç·µÄµç×èË¿µÄ×èÖµ½Ï
´ó
´ó
£¨Ñ¡Ìî¡°´ó¡±»ò¡°Ð¡¡±£©£»
£¨3£©´Ó±íÖÐËù¸øµç×èË¿µÄ¹æ¸ñ¿´£¬»¹¿ÉÒÔÓÃÕâЩµç×èË¿À´×öÁíÒ»¸ö̽¾¿ÊµÑ飬¼´Ì½¾¿µ¼Ìåµç×è´óСÓëµ¼Ìå
ºá½ØÃæ»ý
ºá½ØÃæ»ý
µÄ¹ØÏµ£¬Õâ´ÎÄãÓ¦¸ÃÑ¡ÔñÐòºÅΪ
2Óë4
2Óë4
Á½¸ùµç×èË¿À´×öʵÑ飮
£¨4£©ÎïÀíÑо¿·½·¨ÓжàÖÖ£¬ÈçµÈЧ´úÌæ·¨¡¢Àà±È·¨¡¢¿ØÖƱäÁ¿·¨£»±¾ÊµÑéÖÐÔËÓÃÁËÁ½ÖÖÑо¿·½·¨£¬Ò»ÊÇ
¿ØÖƱäÁ¿
¿ØÖƱäÁ¿
·¨£»¶þÊÇת»»·¨£¬¾ÍÊÇÓÃͨ¹ýÁ÷¹ýµ¼ÌåµÄµçÁ÷´óСÀ´±íʾµç×èµÄ´óС£®

Î¥·¨ºÍ²»Á¼ÐÅÏ¢¾Ù±¨µç»°£º027-86699610 ¾Ù±¨ÓÊÏ䣺58377363@163.com

¾«Ó¢¼Ò½ÌÍø