题目内容
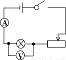
小明拟用如图所示电路测量小灯泡的电功率,请分别在圆圈和虚线框中填上合适元件符号,完成该电路图.要求灯的亮度可调节.
【答案】分析:根据电功率的计算公式:P=UI,要测量小灯泡的电功率,需测出灯泡两端的电压及通过灯泡的电流,所以电路中应用到电流表、电压表,根据灯泡的亮度可以调节,所以还要用到滑动变阻器,同时滑动变阻器具有保护电路和改变灯泡两端的电压、电流的作用.
解答:解:根据P=UI,需测量出U、I的值,所以用电流表与灯泡串联,测出I,电压表与灯泡并联,测出灯泡两端的电压U,根据P=UI可计算出功率;
又灯泡亮度可调节,所以电路中应串联滑动变阻器,如图所示:
.
点评:此题考查了学生对测电功率实验原理的掌握,同时考查了电流表和电压表的连接及滑动变阻器的作用,是基础性题目.
解答:解:根据P=UI,需测量出U、I的值,所以用电流表与灯泡串联,测出I,电压表与灯泡并联,测出灯泡两端的电压U,根据P=UI可计算出功率;
又灯泡亮度可调节,所以电路中应串联滑动变阻器,如图所示:
点评:此题考查了学生对测电功率实验原理的掌握,同时考查了电流表和电压表的连接及滑动变阻器的作用,是基础性题目.
练习册系列答案
相关题目