题目内容

如图所示,工人利用动滑轮将沙匀速向上提升2m,已知沙重180N,动滑轮和桶总重重20N,绳重和摩擦均不计。则在此过程中工人做的有用功为     J,该装置的机械效率为   %,就如何提高该装置的效率提出一点建议                   

360      90     增加物体的重

解析试题分析:(1)动滑轮可看做是绳子股数为2的滑轮组,绳重和摩擦均不计时,
工人做的有用功:
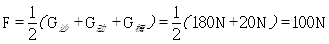
绳子末端的拉力,工人做总功:
该装置的机械效率
(2)在提升的重物相同时,可以减小动滑轮的重力、减轻桶重或加润滑油,提高机械效率;
在机械装置不变时,可以增加提起的沙子的重,提高机械效率.
考点:功的计算;功的计算;机械效率的计算.
点评:本题考查了功、机械效率的计算和提高机械效率的方法,关键是能体会清楚有用功、额外功、总功的含义。

练习册系列答案
相关题目

违法和不良信息举报电话:027-86699610 举报邮箱:58377363@163.com

精英家教网