题目内容
测小灯泡的电功率,实验原理:________ 实验器材:________
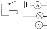
电路图:(在右方框中画出)
实验中滑动变阻器的作用是________连接电路时开关应________,开关闭合之前应把滑动变阻器调至________.在测小灯泡的额定功率时调节滑动变阻器是为了________.
P=UI 电源、开关、滑动变阻器、电压表、电流表、待测灯泡、导线 保护电路,改变灯泡两端电压进行多次测量 断开 阻值最大位置 使灯泡两端电压等于灯泡额定电压
分析:(1)伏安法测小灯泡电功率的原理是P=UI;
(2)伏安法测灯泡功率,实验器材有:电源、开关、滑动变阻器、电压表、电流表、待测灯泡;
(3)伏安法测灯泡功率,电源、开关、滑动变阻器、电流表、待测灯泡组成串联电路,电压表并联在灯泡阻两端,据此作出电路图.
(4)滑动变阻器在电路中一方面保护电路,另一方面可以改变灯泡两端的电压进行多次测量;
(5)连接电路时,开关应断开,滑动变阻器接入电路的阻值应为滑动变阻器的最大阻值,调节滑动变阻器滑片,可以使灯泡两端电压等于灯泡的额定电压.
解答:
解:测小灯泡的电功率,
(1)实验原理:P=UI;
(2)实验器材:电源、开关、滑动变阻器、电压表、电流表、待测灯泡、导线;
(3)电路图如图所示;
(4)滑动变阻器的作用:保护电路,改变灯泡两端电压进行多次测量;
(5)连接电路时,开关应断开,开关闭合之前应把滑动变阻器调至阻值最大位置;
(6)在测小灯泡的额定功率时调节滑动变阻器是为了:使灯泡两端电压等于灯泡额定电压.
故答案为:P=UI;电源、开关、滑动变阻器、电压表、电流表、待测灯泡;电路图如图所示;
保护电路,改变灯泡两端电压进行多次测量;断开;阻值最大位置;使灯泡两端电压等于灯泡额定电压.
点评:本题考查了测灯泡电功率的实验原理、器材、电路图、滑动变阻器的作用、实验的注意事项等问题,考查的知识点较多,是测灯泡电功率的常考内容,一定要掌握;本题难度不大,是一道基础题.
分析:(1)伏安法测小灯泡电功率的原理是P=UI;
(2)伏安法测灯泡功率,实验器材有:电源、开关、滑动变阻器、电压表、电流表、待测灯泡;
(3)伏安法测灯泡功率,电源、开关、滑动变阻器、电流表、待测灯泡组成串联电路,电压表并联在灯泡阻两端,据此作出电路图.
(4)滑动变阻器在电路中一方面保护电路,另一方面可以改变灯泡两端的电压进行多次测量;
(5)连接电路时,开关应断开,滑动变阻器接入电路的阻值应为滑动变阻器的最大阻值,调节滑动变阻器滑片,可以使灯泡两端电压等于灯泡的额定电压.
解答:
(1)实验原理:P=UI;
(2)实验器材:电源、开关、滑动变阻器、电压表、电流表、待测灯泡、导线;
(3)电路图如图所示;
(4)滑动变阻器的作用:保护电路,改变灯泡两端电压进行多次测量;
(5)连接电路时,开关应断开,开关闭合之前应把滑动变阻器调至阻值最大位置;
(6)在测小灯泡的额定功率时调节滑动变阻器是为了:使灯泡两端电压等于灯泡额定电压.
故答案为:P=UI;电源、开关、滑动变阻器、电压表、电流表、待测灯泡;电路图如图所示;
保护电路,改变灯泡两端电压进行多次测量;断开;阻值最大位置;使灯泡两端电压等于灯泡额定电压.
点评:本题考查了测灯泡电功率的实验原理、器材、电路图、滑动变阻器的作用、实验的注意事项等问题,考查的知识点较多,是测灯泡电功率的常考内容,一定要掌握;本题难度不大,是一道基础题.
练习册系列答案
相关题目
测小灯泡(“2.5V 0.3A”)电功率实验
(1)该实验的原理公式是:________.
(2)如图所示,是本实验的实物部分连接图,请用实线代替导线,将电路补充完整,要求滑动变阻器的滑片向右移动时,电流表的示数变小.
| 实验次数 | 1 | 2 | 3 |
| 电压U/V | 2 | 2.5 | 3 |
| 电流I/A | 0.28 | 0.3 | 0.32 |
(4)某同学在实验中遇到以下情况:电路连接完毕后,闭合开关,电压表和电流表都有示数,但小灯泡不亮,而且无论怎样移动滑动变阻器的滑片,两电表的示数都没有发生变化.请你帮忙判断产生此故障的原因是________.
(5)以上实验过程除了能够探究“测小灯泡的电功率”实验外,还能够探究的物理实验是________.
测小灯泡(“2.5V 0.3A”)电功率实验
(1)该实验的原理公式是:______.
(2)如图所示,是本实验的实物部分连接图,请用实线代替导线,将电路补充完整,要求滑动变阻器的滑片向右移动时,电流表的示数变小.
(3)某同学通过实验得到了如上表所示的数据,调节滑动变阻器滑片使小灯泡正常发光,此时小灯泡的电阻为______Ω(保留整数),电功率为______W.
(4)某同学在实验中遇到以下情况:电路连接完毕后,闭合开关,电压表和电流表都有示数,但小灯泡不亮,而且无论怎样移动滑动变阻器的滑片,两电表的示数都没有发生变化.请你帮忙判断产生此故障的原因是______.
(5)以上实验过程除了能够探究“测小灯泡的电功率”实验外,还能够探究的物理实验是______.
(1)该实验的原理公式是:______.
(2)如图所示,是本实验的实物部分连接图,请用实线代替导线,将电路补充完整,要求滑动变阻器的滑片向右移动时,电流表的示数变小.
| 实验次数 | 1 | 2 | 3 |
| 电压U/V | 2 | 2.5 | 3 |
| 电流I/A | 0.28 | 0.3 | 0.32 |
(4)某同学在实验中遇到以下情况:电路连接完毕后,闭合开关,电压表和电流表都有示数,但小灯泡不亮,而且无论怎样移动滑动变阻器的滑片,两电表的示数都没有发生变化.请你帮忙判断产生此故障的原因是______.
(5)以上实验过程除了能够探究“测小灯泡的电功率”实验外,还能够探究的物理实验是______.