题目内容

如图所示电路,电源电压不变。闭合开关S,当滑片P置于变阻器的中点时,电压表的示数为4V;当滑片P置于变阻器的b端时,电压表的示数变化了2V,在15s内定值电阻R1产生的热量为60J。则下列结果正确的是:

A.电源电压为10V

B. R1的阻值为18Ω

C.滑动变阻器R的最大阻值为9Ω

D. R1先后两次消耗的电功率之比为4﹕3

 

【答案】

C

【解析】

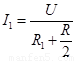
试题分析:当滑片在中点时由欧姆定律可知,电流中电流,则滑动变阻器两端的电压:(1),由题意知,当滑片滑到b处时因R的接入电阻变大,故电压表示数应增大,即滑片滑到b点时,滑动变阻器两端电压为U2=4V+2V=6V;同理得:(2), 用(1)式比(2)式可得:,解得R1=R(3), 将(3)代入(1)式可得:U=12v,A选项错;当滑片滑到b点时,R1两端电压为;由得: ,B选项错误;因为R=R1,所以R,的最大值为9Ω,C选项正确;滑片在中点时,R1两端的电压为12V-4V=8V,滑片在b点时,电压为6V,则电压之比为4∶3,由可得:R1先后两次消耗的电功率之比为电压平方之比,即:16∶9 所以D错;答案:C

考点:电功率计算,串联电路电压规律,滑动变阻器的使用,欧姆定律。

 

练习册系列答案
相关题目

违法和不良信息举报电话:027-86699610 举报邮箱:58377363@163.com

精英家教网