在实数﹣,0.21, , , ,0.20202中,无理数的个数为( )
A. 1 B. 2 C. 3 D. 4
我国“神七”在2008年9月26日顺利升空,宇航员在27日下午4点30分在距离地球表面423公里的太空中完成了太空行走,这是我国航天事业的又一历史性时刻.将423公里用科学记数法表示应为( )米.
A. 42.3×104 B. 4.23×102 C. 4.23×105 D. 4.23×106
下列计算正确的是( )
A. (a+2)(a-2)=a2-2 B. (a+1)(a-2)=a2+a-2
C. (a+b)2=a2+b2 D. (a-b)2=a2-2ab+b2
如图是由若干小正方体组成的几何体的俯视图,小正方形中的数字表示该位置小正方体的个数,这个几何体的主视图是( )
A. B. C. D.
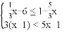
对于不等式组,下列说法正确的是( )
A. 此不等式组的正整数解为1,2,3
B. 此不等式组的解集为
C. 此不等式组有5个整数解
D. 此不等式组无解
如图,AB∥CD,E为CD上一点,射线EF经过点A,EC=EA.若∠CAE=30°,则∠BAF=( )
A. 30° B. 40° C. 50° D. 60°
一次函数与反比例函数在同一个坐标系中的图象可能是( )
甲、乙两辆汽车沿同一路线从A地前往B地,甲车以a千米/时的速度匀速行驶,途中出现故障后停车维修,修好后以2a千米/时的速度继续行驶;乙车在甲车出发2小时后匀速前往B地,比甲车早30分钟到达.到达B地后,乙车按原速度返回A地,甲车以2a千米/时的速度返回A地.设甲、乙两车与A地相距s(千米),甲车离开A地的时间为t(小时),s与t之间的函数图象如图所示.下列说法:①a=40;②甲车维修所用时间为1小时;③两车在途中第二次相遇时t的值为5.25;④当t=3时,两车相距40千米,其中不正确的个数为( )
A. 0个 B. 1个 C. 2个 D. 3个
已知抛物线y=x2+bx+c的对称轴为x=2,若关于x的一元二次方程﹣x2﹣bx﹣c=0在﹣1<x<3的范围内有两个相等的实数根,则c的取值范围是( )
A. c=4 B. ﹣5<c≤4 C. ﹣5<c<3或c=4 D. ﹣5<c≤3或c=4
(2017•鄂州)如图四边形ABCD中,AD∥BC,∠BCD=90°,AB=BC+AD,∠DAC=45°,E为CD上一点,且∠BAE=45°.若CD=4,则△ABE的面积为( )