一条直线上有若干个点,以任意两点为端点可以确定一条线段,线段的条数与点的个数之间的对应关系如下表所示。请你探究表内数据间的关系,根据发现的规律,填写表中空格.
点的个数
线段的条数
2
1
3
4
6
5
10
15
7
关于﹣(﹣a)2的相反数,有下列说法:①等于a2;②等于(﹣a)2;③值可能为0;④值一定是正数.其中正确的有( )
A. 1个 B. 2个 C. 3个 D. 4个
直线y=kx+1一定经过点( )
A. (1,0) B. (1,k) C. (0,k) D. (0,1)
以下列各组数为边长,能构成直角三角形的是( )
A. ,, B. ,, C. 32,42,52 D. 1,2,3
已知⊙O和三点P、Q、R,⊙O的半径为3,OP=2,OQ=3,OR=4,经过这三点中的一点任意作直线总是与⊙O相交,这个点是 ( )
A. P B. Q C. R D. P或Q
AB、DC是圆的两条平行弦,则ABCD一定不是( )
A. 等腰梯形 B. 直角梯形 C. 正方形 D. 矩形
适合=3―a的正整数a的值有( )
当你将一把扇形扇子逐渐打开时,容易发现打开部分的扇形面积随圆心角的变化而变化,那么下列函数中能正确描述这种变化的是( )
A. 正比例函数 B. 反比例函数 C. 一次函数(b≠0) D. 二次函数
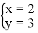
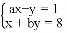
方程组的解是,那么方程x2+ax+b=0( )
A. 有两个不相等实数根 B. 有两个相等实数根
C. 没有实数根 D. 有两个根为2和3
某乡镇改造农村电网,需重新架设4000米长的电线。为了减少施工对农户用电造成的影响,施工时每天的工作效率比原计划提高,结果提前2天完成任务,问实际施工中每天架设多长电线?如果设原计划每天架设x米电线,那么列出的方程是( )
A. ―=2 B. ―=2 C. ―=2 D. ―=2