一个样本有20个数据:35,31,33,35,37,39,35,38,40,39,36,34,35,37,36,32,34,35,36,34.在列频数分布表时,如果取组距为3,那么应分成_____组.
如图是一组密码的一部分,请你运用所学知识找到破译的“钥匙”.目前,已破译出“正做数学”的真实意思是“祝你成功”.若“正”所处的位置为(x,y),你找到的密码钥匙是:横坐标_____,纵坐标_____,破译的“今天考试”真实意思是_____.
若不等式3x-m≤0的正整数解恰好是1、2、3,则m的取值范围是________.
从汽车灯的点O处发出的一束光线经灯的反光罩反射后沿CO方向平行射出,如入射光线OA的反射光线为AB,∠OAB=75°.在如图中所示的截面内,若入射光线OD经反光罩反射后沿DE射出,且∠ODE=22°.则∠AOD的度数是_____.
计算
(1)+(﹣1)2017;
(2)|﹣2|+2(﹣1).
解方程组或不等式组
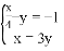
(1)解方程组
(2)解不等式组.
推理填空,如图,已知∠A=∠F,∠C=∠D,试说明BD∥CE.
【解析】∵∠A=∠F( ),
∴AC∥DF( ),
∴∠D=∠1( ),
又∵∠C=∠D( ),
∴∠1=∠C( ),
∴BD∥CE( ).
某商场对一种新售的手机进行市场问卷调查,其中一个项目是让每个人按A(不喜欢)、B(一般)、C(不比较喜欢)、D(非常喜欢)四个等级对该手机进行评价,图①和图②是该商场采集数据后,绘制的两幅不完整的统计图,请你根据以上统计图提供的信息,回答下列问题:
(1)本次调查的人数为多少人?A等级的人数是多少?请在图中补全条形统计图.
(2)图①中,a等于多少?D等级所占的圆心角为多少度?
已知:如图,∠1=∠2,∠3=∠4,∠5=∠6.求证:ED∥FB.
4月的某天小欣在“A超市”买了“雀巢巧克力”和“趣多多小饼干”共10包,已知“雀巢巧克力”每包22元,“趣多多小饼干”每包2元,总共花费了80元.
(1)请求出小欣在这次采购中,“雀巢巧克力”和“趣多多小饼干”各买了多少包?
(2)“五•一”期间,小欣发现,A、B两超市以同样的价格出售同样的商品,并且又各自推出不同的优惠方案:在A超市累计购物超过50元后,超过50元的部分打九折;在B超市累计购物超过100元后,超过100元的部分打八折.
①请问“五•一”期间,若小欣购物金额超过100元,去哪家超市购物更划算?
②“五•一”期间,小欣又到“B超市”购买了一些“雀巢巧克力”,请问她至少购买多少包时,平均每包价格不超过20元?