为了更好改善河流的水质,治污公司决定购买10台污水处理设备现有A,B两种型号的设备,其中每台的价格,月处理污水量如下表:经调查:购买一台A型设备比购买一台B型设备多2万元,购买2台A型设备比购买3台B型设备少6万元.![]()
A型 | B型 | |
价格 | a | b |
处理污水量 | 240 | 200 |
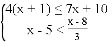
求a,b的值;![]()
治污公司经预算购买污水处理设备的资金不超过105万元,你认为该公司有哪几种购买方案;![]()
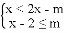
在![]()
的条件下,若每月要求处理污水量不低于2040吨,为了节约资金,请你为治污公司设计一种最省钱的购买方案.![]()
为了更好改善河流的水质,治污公司决定购买10台污水处理设备现有A,B两种型号的设备,其中每台的价格,月处理污水量如下表:经调查:购买一台A型设备比购买一台B型设备多2万元,购买2台A型设备比购买3台B型设备少6万元.![]()
A型 | B型 | |
价格 | a | b |
处理污水量 | 240 | 200 |
求a,b的值;![]()
治污公司经预算购买污水处理设备的资金不超过105万元,你认为该公司有哪几种购买方案;![]()
在![]()
的条件下,若每月要求处理污水量不低于2040吨,为了节约资金,请你为治污公司设计一种最省钱的购买方案.![]()