如图1,△ABC为等边三角形,三角板的60°角顶点与点C重合,三角板的一直角边与AB交于点D,在三角板斜边上取一点F,使CF=CD,线段AB上取点E,使∠DCE=30°,连接AF,EF.
(1)求证:△ACF≌△BCD;
(2)写出线段DE与EF之间的数量关系,并说明理由;
(3)如图2,若△ABC为等腰直角三角形,∠ACB=90°,三角板的90°角顶点与点C重合,三角板的一直角边与AB交于点D,在三角板另一直角边上取一点F,使CF=CD,在线段AB上取点E,使∠DCE=45°,连接AF,EF.请写出三条线段AE,ED,DB之间的数量关系,并说明理由.
36的平方根是( )
A. ±6 B. 6 C. -6 D. ±
下列各数:,,,,,0.101001…(每两个1之间的0逐渐增加一个)中,无理数有( )个.
A. 1 B. 2 C. 3 D. 4
下列计算正确的是
A. B. C. D.
若a、b为实数,且满足,则b﹣a的值为( )
A. 1 B. 0 C. ﹣1 D. 以上都不对
在平面直角坐标系中,点(﹣6,2)在( )
A. 第一象限 B. 第二象限 C. 第三象限 D. 第四象限
下列四个命题中,真命题有( )
①两条直线被第三条直线所截,内错角相等.②垂线段最短.
③如果∠1和∠2是对顶角,那么∠1=∠2.④如果x2>0,那么x>0.
A. 1个 B. 2个 C. 3个 D. 4个
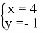
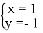
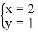
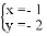
下列各组数值是二元一次方程x-3y=4的解的是( )
如图,直线AB、CD相交于点O,OE平分∠AOC,若∠AOE=35°,则∠BOD的度数是( )
A. 40° B. 50° C. 60° D. 70°
如图,点E在AC的延长线上,下列条件中能判断AB∥CD的是( )
A. ∠3=∠4 B. ∠D=∠DCE C. ∠1=∠2 D. ∠D+∠ACD=180°