在下列实数中,是无理数的是( )
A. B. -2π C. D. 3.14
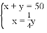
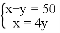
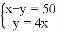
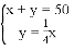
鄱阳二中七年级(6)班学生参加植树活动,甲、乙两组共植树50株,乙组植树的株数是甲组的,若设甲组植树x株,乙组植树y株,则列方程组得( )
A. B. C. D.
质检部门为了检测某品牌电器的质量,从同一批次共10000件产品中随机抽取100件进行检测,检测出次品5件,由此估计这一批次产品中的次品件数是( )
A. 5 B. 100 C. 500 D. 10000
如图1,已知AB∥CD,AC⊥BC,∠B=62°,则∠ACD的度数为( )
A. 28° B. 30° C. 32° D. 34°
如图,∠1=70°,直线a平移后得到直线b,则∠2-∠3( )
A. 70° B. 180° C. 110° D. 80°
已知不等式2x+a<x+5的正整数解有2个,求a的取值范围.( )
A. 2<a<3 B. 2<a≤3 C. 2≤a≤3 D. 2≤a<3
已知是整数,则满足条件的最小正整数n为____.
若不等式组的解集是x<2,则m的取值范围是__________.
将两张矩形纸片如图所示摆放,使其中一张矩形纸片一个顶点恰好的落在另一张矩形纸片的一条边上,则∠1+∠2=________度.
.在平面直角坐标系中,若点M(1,3)与点N(x,3)之间的距离是5,则x的值是____________.