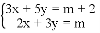
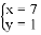
0  328803  328811  328817  328821  328827  328829  328833  328839  328841  328847  328853  328857  328859  328863  328869  328871  328877  328881  328883  328887  328889  328893  328895  328897  328898  328899  328901  328902  328903  328905  328907  328911  328913  328917  328919  328923  328929  328931  328937  328941  328943  328947  328953  328959  328961  328967  328971  328973  328979  328983  328989  328997  366461 

违法和不良信息举报电话:027-86699610 举报邮箱:58377363@163.com

精英家教网