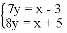
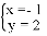
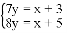
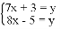
0 328789 328797 328803 328807 328813 328815 328819 328825 328827 328833 328839 328843 328845 328849 328855 328857 328863 328867 328869 328873 328875 328879 328881 328883 328884 328885 328887 328888 328889 328891 328893 328897 328899 328903 328905 328909 328915 328917 328923 328927 328929 328933 328939 328945 328947 328953 328957 328959 328965 328969 328975 328983 366461