如图,过反比例函数y=(x>0)的图象上一点A作AB⊥x轴于点B,连接AO,若S△AOB=2,则k的值为___________
如图,已知点A,B的坐标分别为(4,0)、(0,3),将线段AB平移到CD,若点C的坐标为(6,3),则点D的坐标为( )
A. (2,6) B. (2,5) C. (6,2) D. (3,6)
下列式子正确的是( )
A. a2>0 B. a2≥0 C. (a+1)2>1 D. (a﹣1)2>1
如图,点E在BC延长线上,下列条件中,不能推断∥的是( ).
A. ∠4=∠3 B. ∠1=∠2 C. ∠B=∠5 D. ∠B+∠BCD=180°
下列语言是命题的是( )
A. 画两条相等的线段
B. 等于同一个角的两个角相等吗?
C. 延长线段AO到C,使OC=OA
D. 两直线平行,内错角相等.
下列调查中,适宜采用全面调查(普查)方式的是( )
A.调查市场上老酸奶的质量情况 B.调查某品牌圆珠笔芯的使用寿命
C.调查乘坐飞机的旅客是否携带了危禁物品 D.调查我市市民对伦敦奥运会吉祥物的知晓率
已知关于x,y的方程x2m-n-2+4ym+n+1=6是二元一次方程,则m,n的值为( )
A. m=1,n=-1 B. m=-1,n=1 C. m=,n=- D. m=-,n=
不等式2x﹣7<5﹣2x正整数解有( )
A. 1个 B. 2个 C. 3个 D. 4个
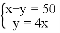
如图,用10块相同的长方形纸板拼成一个矩形,设长方形纸板的长和宽分别为xcm和ycm,则依题意列方程式组正确的是( )
A. B. C. D.
某商品的进价为120元,现打8折出售,为了不亏损,该商品的标价至少应为( )
A. 96元; B. 130元; C. 150元; D. 160元.