已知x﹣2的平方根是±2,5y+32的立方根是﹣2.
(1)求x3+y3的平方根.
(2)计算:|2﹣|-的值.
阅读理解
∵在,即,∴.∴的整数部分为1,小数
部分为.
解决问题
已知是的整数部分,是的小数部分,求的平方根.
下面四个图形中,∠1与∠2为对顶角的图形是 ( )
A. B. C. D.
下列调查中,适宜采用全面调查(普查)方式的是( )
A.调查市场上老酸奶的质量情况 B.调查某品牌圆珠笔芯的使用寿命
C.调查乘坐飞机的旅客是否携带了危禁物品 D.调查我市市民对伦敦奥运会吉祥物的知晓率
点P(-3,2)位于( )
.第一象限 .第二象限 .第三象限 .第四象限
如图是某机器零件的设计图纸, 在数轴上表示该零件长度(L)合格尺寸, 正确的是( )
A. B.
C. D.
下列命题中,是假命题的是( )
A. 同旁内角互补
B. 对顶角相等
C. 直角的补角仍然是直角
D. 两点之间,线段最短
下列各式是二元一次方程的是( )
A.3x﹣y+z=0 B.xy﹣3y+x=0 C.x﹣y=0 D.+y﹣1=0
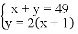
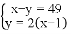
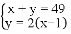
某班共有学生49人.一天,该班某男生因事请假,当天的男生人数恰为女生人数的一半.若设该班男生人数为x,女生人数为y,则下列方程组中,能计算出x,y的是( )
某次知识竞赛共有20道题,每一题答对得10分,答错或不答都扣5分.小明得分要超过120分,他至少要答对多少道题?如果设小明答对x道题,则他答错或不答的题数为20-x. 根据题意得:( )
A. 10x-5(20-x)≥120 B. 10x-5(20-x)≤120
C. 10x-5(20-x)> 120 D. 10x-5(20-x)<120