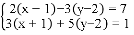
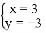
0  328333  328341  328347  328351  328357  328359  328363  328369  328371  328377  328383  328387  328389  328393  328399  328401  328407  328411  328413  328417  328419  328423  328425  328427  328428  328429  328431  328432  328433  328435  328437  328441  328443  328447  328449  328453  328459  328461  328467  328471  328473  328477  328483  328489  328491  328497  328501  328503  328509  328513  328519  328527  366461 

违法和不良信息举报电话:027-86699610 举报邮箱:58377363@163.com

精英家教网