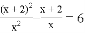
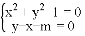
0  328318  328326  328332  328336  328342  328344  328348  328354  328356  328362  328368  328372  328374  328378  328384  328386  328392  328396  328398  328402  328404  328408  328410  328412  328413  328414  328416  328417  328418  328420  328422  328426  328428  328432  328434  328438  328444  328446  328452  328456  328458  328462  328468  328474  328476  328482  328486  328488  328494  328498  328504  328512  366461 

违法和不良信息举报电话:027-86699610 举报邮箱:58377363@163.com

精英家教网