某校书法兴趣小组20名学生日练字页数如下表所示:
日练字页数
2
3
4
5
6
人 数
这些学生日练字页数的中位数、平均数分别是( )
A. 3页,4页 B. 3页,5页 C. 4页,4页 D. 4页,5页
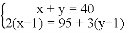
已知是二元一次方程组的解,则a+b的算术平方根为( )
A. ±3 B. C. 3 D. 9
某校组织学生进行了禁毒知识竞赛,竞赛结束后,菁菁和彬彬两个人的对话如下:
根据以上信息,设单选题有x道,多选题有y道,则可列方程组为( )
A. B.
C. D.
一辆货车和一辆小轿车同时从甲地出发,货车匀速行驶至乙地,小轿车中途停车休整后提速行驶至乙地,货车行驶的路程y1(km),小轿车行驶的路程y2(km)与时间x(h)的对应关系如图所示,下列结论错误的是( )
A. 甲、乙两地相距420km
B. y1=60x,y2=
C. 货车出发4.5h与小轿车首次相遇
D. 两车首次相遇时距乙地150km
使二次根式有意义的x的取值范围是________.
若一次函数y=5x+m的图象过点(1,10),则该图象与x轴的交点坐标是________.
若三角形的三边长分别等于,,2,则此三角形的面积为________.
如图,在平面直角坐标系中,直线y=-2x与y=-x+b交于点A,且点A的横坐标为-1,则关于x,y的方程组的解是________.
已知实数m,n满足(m+2)2+=0,则点P(m,n)和点Q(2m+2,n-2)关于________轴对称.
一组从小到大排列的数据:a,3,4,4,6(a为正整数),唯一的众数是4,则该组数据的平均数是________.