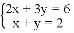
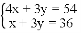
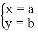
0  323999  324007  324013  324017  324023  324025  324029  324035  324037  324043  324049  324053  324055  324059  324065  324067  324073  324077  324079  324083  324085  324089  324091  324093  324094  324095  324097  324098  324099  324101  324103  324107  324109  324113  324115  324119  324125  324127  324133  324137  324139  324143  324149  324155  324157  324163  324167  324169  324175  324179  324185  324193  366461 

违法和不良信息举报电话:027-86699610 举报邮箱:58377363@163.com

精英家教网