已知A、B两地相距120千米,甲骑自行车以20千米/时的速度由起点A前往终点B,乙骑摩托车以40千米/时的速度由起点B前往终点A.两人同时出发,各自到达终点后停止.设两人之间的距离为s(千米),甲行驶的时间为t(小时),则下图中正确反映s与t之间函数关系的是( )
A. B.
C. D.
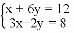
已知x,y满足方程组 ,则x+y的值为( )
A. 9 B. 7 C. 5 D. 3
(3分)有13位同学参加学校组织的才艺表演比赛.已知他们所得的分数互不相同,共设7个获奖名额.某同学知道自己的比赛分数后,要判断自己能否获奖,在下列13名同学成绩的统计量中只需知道一个量,它是( )
A. 众数 B. 方差 C. 中位数 D. 平均数
今年4月,全国山地越野车大赛在我市某区举行,其中8名选手某项得分如表:
得分
80
85
87
90
人数
1
3
2
则这8名选手得分的众数、中位数分别是( )
A. 85,85 B. 87,85 C. 85,86 D. 85,87
如图,已知∠AOB=70°,OC平分∠AOB,DC∥OB,则∠C为( )
A. 20° B. 35° C. 45° D. 70°
如图所示,将含有30°角的三角板的直角顶点放在相互平行的两条直线其中一条上,若∠1=35°,则∠2的度数为( )
A. 10° B. 20° C. 25° D. 30°
函数y=ax与函数y=x+b的图象如图所示,则关于x、y的方程组的解是 .
已知一个正数的两个平方根分别为2m﹣6和3+m,则(﹣m)2016的值为 .
已知(-1,y1),(2,y2)是直线y=2x+1上的两点,则y1____y2.(填“>”“=”或“<”)
某大学生招生考试只考数学和物理,计算综合得分时,按数学占60%,物理占40%计算,已知小明数学得分为95分,物理得分为90分,那么小明的综合得分是____分.