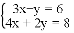
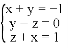
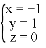
0  323549  323557  323563  323567  323573  323575  323579  323585  323587  323593  323599  323603  323605  323609  323615  323617  323623  323627  323629  323633  323635  323639  323641  323643  323644  323645  323647  323648  323649  323651  323653  323657  323659  323663  323665  323669  323675  323677  323683  323687  323689  323693  323699  323705  323707  323713  323717  323719  323725  323729  323735  323743  366461 

违法和不良信息举报电话:027-86699610 举报邮箱:58377363@163.com

精英家教网