如图,在△ABC中,已知点D为BC上一点,E,F分别为AD,BE的中点,且S△ABC=8cm2,则图中阴影部分△CEF的面积是_____cm2.
如图,∠A+∠B+∠C+∠D+∠E+∠F的度数是________.
我们把分子为1的分数叫做单位分数,如,,…,任何一个单位分数都可以拆分成两个不同的单位分数的和,如=+, =+, =+,…,请你根据对上述式子的观察,把表示为两个单位分数之和应为__________.
(1)先化简,再求值:x2﹣(x+2)(2﹣x)﹣2(x﹣5)2,其中x=3.
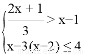
(2)解不等式组 ,并求它的整数解.
如图,已知点O是△ABC的两条角平分线的交点,
(1)若∠A=30°,则∠BOC的大小是 ;
(2)若∠A=60°,则∠BOC的大小是 ;
(3)若∠A=n°,则∠BOC的大小是多少?试用学过的知识说明理由.
如图,已知四边形ABCD中,∠D=100°,AC平分∠BCD,且∠ACB=40°,∠BAC=70°.
(1)AD与BC平行吗?试写出推理过程;
(2)求∠DAC和∠EAD的度数.
(1)如图1,在边长为a的正方形中,画出两个长方形阴影,则阴影部分的面积是 (写成两数平方差的形式);
(2)如图2,若将阴影部分裁剪下来,重新拼成一个长方形,它的长是 ,宽是 ,面积是 (写成多项式乘法的形式);
(3)比较左、右两图的阴影部分面积,可以得到乘法公式 (用式子表达);
(4)运用你所得到的公式计算:
①10.3×9.7
②(2m+n﹣p)(2m﹣n+p)
在创建“全国文明城市”和“省级文明城区”过程中,栾城区污水处理厂决定先购买A、B两型污水处理设备共20台,对城区周边污水进行处理.已知每台A型设备价格为12万元,每台B型设备价格为10万元;1台A型设备和2台B型设备每周可以处理污水640吨,2台A型设备和3台B型设备每周可以处理污水1080吨.
(1)求A、B两型污水处理设备每周分别可以处理污水多少吨?
(2)要想使污水处理厂购买设备的资金不超过230万元,但每周处理污水的量又不低于4500吨,请你列举出所有购买方案,并指出哪种方案所需资金最少?最少是多少?
16的算术平方根是( )
A. 4 B. ±4 C. 8 D. ±8
以下问题,不适合抽样调查的是( )
A. 了解全市中小学生的每天的零花钱 B. 旅客上高铁列车前的安检
C. 调查某批次汽车的抗撞击能力 D. 调查某池塘中草鱼的数量