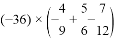
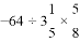
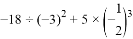
0  316804  316812  316818  316822  316828  316830  316834  316840  316842  316848  316854  316858  316860  316864  316870  316872  316878  316882  316884  316888  316890  316894  316896  316898  316899  316900  316902  316903  316904  316906  316908  316912  316914  316918  316920  316924  316930  316932  316938  316942  316944  316948  316954  316960  316962  316968  316972  316974  316980  316984  316990  316998  366461 

违法和不良信息举报电话:027-86699610 举报邮箱:58377363@163.com

精英家教网