若﹣2a5bn与5am+nb2可以合并成一项,则mn的值是( )
A. 1 B. 3 C. 6 D. 9
观察下列关于x的单项式,探究其规律:x,3x2,5x3,7x4,9x5,11x6,………按照上述规律,第2016个单项式是( )
A. 2016x2016 B. 4029x2015 C. 4029x2016 D. 4031x2016
a、b为有理数,它们在数轴上的对应点的位置如图所示,把a,-a,b,-b按照从小到大的顺序排序是 ( )
A、-b﹤-a﹤a﹤b B、-a﹤-b﹤a﹤b
C、-b﹤a﹤-a﹤b D、-b﹤b﹤-a﹤a
如果零上5℃记作+5℃,那么零下7℃可记作_________.
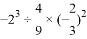
计算8的值为_______________.
若,则的值为____________.
若一个长方形的周长是,其中一边长是,则这个长方形的另一边的长是__________ .
已知=2,=3,且在数轴上表示有理数b的点在a的左边,则a-b的值为__________.
已知代数式的值是1,则代数式值是___________.
如果a是最小的正整数,b是绝对值最小的数,c与a2互为相反数,那么 (a + b)2016? c2016 = __________.