如图,每个小正方形的边长为1,A、B、C是小正方形的顶点,则∠ABC的度数为![]()
| A.90° | B.60° | C.45° | D.30° |
如图在平面直角坐标系中,□ MNEF的两条对角线ME,NF交于原点O,![]()
点F的坐标是(3,2),则点N的坐标为( )。
| A.(-3,-2) | B.(-3,2) | C.(-2,3) | D.(2,3) |
如图(十九),用四个螺丝将四条不可弯曲的木条围成一个木框,不计螺丝大小,其中相邻两螺丝的距离依序为2、3、4、6,且相邻两木条的夹角均可调整。若调整木条的夹角时不破坏此木框,则任两螺丝的距离之最大值为何?![]()
| A.5 | B.6 | C.7 | D.10 |
如图(十五)梯形ABCD的两底长为
=6,
=10,中线为
,且ÐB=90°,若P为
上的一点,且
将梯形ABCD分成面积相 同的两区域,则△EFP与梯形ABCD的面积比为何?![]()
| A.1:6 | B.1:10 | C.1:12 | D.1:16 |
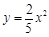
图(十)为一个平行四边形ABCD,其中H、G两点分别在
、
上,
^
,
^
,且
、
、
将ÐBAD分成 Ð1、Ð2、Ð3、Ð4四个角。若
=5,
=6,则下列关系何者正确?![]()
| A.Ð1=Ð2 | B.Ð3=Ð4 | C. | D. |
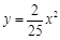
如图,在等腰梯形ABCD中,AB∥CD, 对角线AC⊥BC,∠B=60º,BC=2cm,![]()
则梯形ABCD的面积为( ▲ )
| A. | B.6 cm2 | C. | D.12 cm2 |
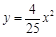
如图所示,矩形ABCD中,AB=4,BC=
,点E是折线段A-D-C上的一个动点(点E与点A不重合),点P是点A关于BE的对称点.![]()
在点E运动的过程中,使△PCB为等腰三角形的点E的位置共有
| A.2个 | B.3个 | C.4个 | D.5个 |