现有两根长度分别为4cm和2cm的小木棒,请再找一根小木棒,以这三根木棒为边围成一个三角形,则第三根小木棒的长度可以是 ( )
| A. 2 cm | B. 5cm | C. 6cm | D. 7cm |
下列说法中,①三角形的内角中最多有一个钝角;②三角形的中线将三角形分成面积相等的两部分;③从n边形的一个顶点可以引(n-3)条对角线,把n边形分成(n-2)个三角形,因此,n边形的内角和是(n-2)·1800;④六边形的对角线有7条,正确的个数有
| A.4个 | B.3个 | C.2个 | D.1个 |
(2011广西梧州,3,3分)下列长度的三条线段能组成三角形的是
| A.1,2,3 | B.3,4,5 | C.3,1,1 | D.3,4,7 |
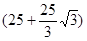
将一个有45°角的三角板的直角顶点放在一张宽为3cm的纸带边沿上,另一个顶
点在纸带的另一边沿上,测得三角板的一边与纸带的一边所在的直线成30°角,如图(3),
则三角板的最大边的长为( )
| A. | B. | C. | D. |
(2011内蒙古赤峰,8,3分)如图,在△ABC中,AB=20㎝,AC=12㎝,点P从
点B出发以每秒3㎝的速度向点A运动,点Q从点A同时出发以每秒2㎝的速度向点C运动,
其中一个动点到达端点时,另一个动点也随之停止运动,当△APQ是等腰三角形时,运动
的时间是 ( )
| A.2.5 | B.3秒 | C.3.5秒 | D.4秒 |