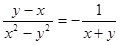
计算
的结果是( )
| A. | B. | C. | D. |
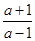
化简
的结果是( )
| A.a | B. | C. | D. |
计算
-
的结果是( )
| A.- | B. | C.- | D. |
若分式
有意义,则
应满足( )
| A. | B. | C. | D. |
下列运算正确的是( )
| A. | B. |
| C. | D. |
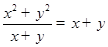
分式
的计算结果是( )
| A. | B. | C. | D. |
若分式
的值为0 ,则
的值为
| A.0 | B.2 | C.-2 | D.0或2 |
计算
的结果是( )
| A. | B. | C. | D. |
化简
的结果是( )
| A.a | B. | C. | D. |
计算
-
的结果是( )
| A.- | B. | C.- | D. |
若分式
有意义,则
应满足( )
| A. | B. | C. | D. |
下列运算正确的是( )
| A. | B. |
| C. | D. |
分式
的计算结果是( )
| A. | B. | C. | D. |
若分式
的值为0 ,则
的值为
| A.0 | B.2 | C.-2 | D.0或2 |