题目内容
观察下列各式及其验证过程:
验证:
=
;
验证:
=
=
=
;
验证:
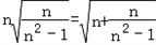
=
;
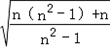
验证:
=
=
=
.
(1)按照上述两个等式及其验证过程的基本思路,猜想4
的变形结果并进行验证;
(2)针对上述各式反映的规律,写出用n(n为任意自然数,且n≥2)表示的等式,并给出证明.
验证:
验证:
验证:
验证:
(1)按照上述两个等式及其验证过程的基本思路,猜想4
(2)针对上述各式反映的规律,写出用n(n为任意自然数,且n≥2)表示的等式,并给出证明.
解:(1)
.验证如下:左边=
=
=
=
=右边,故猜想正确;
(2)
.
证明如下:左边=
=
=
=
=右边.
(2)
证明如下:左边=
练习册系列答案
相关题目