题目内容
化简或求值:
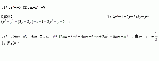
(1) 3y2-1-2y-5+3y-y2;
(2) 3(4mn-m2)-4mn-2(3mn-m2),其中m=-2, n=.
近似数1.5105精确到_____位
如图,已知二次函数y=﹣x2+bx+c的图象交x轴于点A(﹣4,0)和点B,交y轴于点C(0,4).
(1)求这个二次函数的表达式;
(2)在抛物线的对称轴上是否存在一点P,使得的值最大?若存在,求出P点坐标;若不存在,请说明理由.
(3)在平面直角坐标系内,是否存在点Q,使A,B,C,Q四点构成平行四边形?若存在,直接写出点Q的坐标;若不存在,说明理由.
已知二次函数y=ax2+bx+c(a,b,c是常数,且a≠0)的图象如图所示,则一次函数y=cx-与反比例函数y=在同一坐标系内的大致图象是( ).
A. B. C. D.
下列方程有实数根的是( ).
A. x2-x-1=0 B. x2+x+1=0 C. x2-6x+10=0 D. x2-x+1=0
若一只蚂蚁从数轴上一点A出发,爬了7个单位长度到了原点,则点A所表示的数是_______.
如图,小惠设计了一个电脑程序,已知x、y为两个不相等的有理数,当输出的值M=24时,所输入的x、y中较大的数为( )
A. 48 B. 24 C. 12 D. 6
(满分6分)解方程:
如图,四边形ABCD是边长为2,一个锐角等于60°的菱形纸片,小芳同学将一个三角形纸片的一个顶点与该菱形顶点D重合,按顺时针方向旋转三角形纸片,使它的两边分别交CB、BA(或它们的延长线)于点E、F,EDF=60°,当CE=AF时,如图①小芳同学得出的结论是DE=DF。
(1)继续旋转三角形纸片,当CEAF时,如图②,小芳的结论是否成立?若成立,加以证明;若不成立,请说明理由。
(2)再次旋转三角形纸片,当点E、F分别在CB、BA的延长线上时,如图③,请写出DE与DF的数量关系,并加以证明。
(3)连接EF,若△DEF的面积为y,CE=x,求y与x的关系式,并指出当x为何值时,y有最小值,最小值是多少?