题目内容
在同一平面内,若两条直线相交,则公共点的个数是________;若两条直线平行,则公共点的个数是_________.
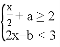
如果不等式组的解集是,那么的值为 .
在同一平面内,直线a与b满足下列条件,把它们的位置关系填在后面的横线上.
(1)a与b没有公共点,则a与b_____;
(2)a与b有且只有一个公共点,则a与b_____;
(3)a与b有两个公共点,则a与b____.
在同一平面内L1和L2有一个公共点,则L1与L2______.
如图所示,a∥b,a与c相交,那么b与c相交吗?为什么?
在同一平面内有三条直线,若其中有两条且只有两条直线平行,则它们交点的?个数为( )
A. 0个 B. 1个 C. 2个 D. 3个
已知,若函数y=(m-1) +3是关于x的一次函数
(1)求m的值,并写出解析式.
(2)判断点(1,2)是否在此函数图象上,说明理由.
函数的图象不经过( )
A. 第一象限 B. 第二象限 C. 第三象限 D. 第四象限
已知如图,以Rt△ABC的AC边为直径作⊙O交斜边AB于点E,连接EO并延长交BC的延长线于点D,作OF∥AB交BC于点F,连接EF.
(1)求证:OF⊥CE
(2)求证:EF是⊙O的切线;
(3)若O的半径为3,∠EAC=60°,求AD的长.