题目内容
在-4,-6,0,2四个数中,最小的实数是( )
A. -6 B. -4 C. 0 D. 2
如图,每个小正方形的边长为1,在方格纸内将经过一次平移后得到,图中标出了点B的对应点.根据下列条件,利用网格点和直尺画图:
(1)补全;
(2)作出中线;
(3)画出边上的高线;
(4)在平移过程中,线段扫过的面积为 .
若,b是2的相反数,则a+b的值为( )
A. ﹣3 B. ﹣1 C. ﹣1或﹣3 D. 1或﹣3
设a、b是方程x2+x-2018=0的两个实数根,则a2+2a+b的值为___.
当x=m和n(m<n)时,代数式x2-4x+3的值相等,并且当x分别取m-1、n+2、 时,代数式x2-4x+3的值分别为,,.那么,,的大小关系为( )
A. << B. >> C. >> D. >>
4件同型号的产品中,有1件不合格品和3件合格品.
(1)从这4件产品中随机抽取1件进行检测,求抽到的是不合格品的概率;
(2)从这4件产品中随机抽取2件进行检测,求抽到的都是合格品的概率;
(3)在这4件产品中加入x件合格品后,进行如下试验:随机抽取1件进行检测,然后放回,多次重复这个试验,通过大量重复试验后发现,抽到合格品的频率稳定在0.95,则可以推算出x的值大约是多少?
一天,小青想利用影子测量校园内一根旗杆的高度,在同一时刻内,小青的影长为2米,旗杆的影长为20米,若小青的身高为1.60米,则旗杆的高度为_____米.
如图,在△ABC中,D是AC的中点,E是线段BC延长线上一点,过点A作BE的平行线与线段ED的延长线交于点F,连接AE、CF.
(1)求证:AF=CE;
(2)如果AC=EF,且∠ACB=135°,试判断四边形AFCE是什么样的四边形,并证明你的结论
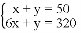
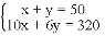
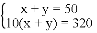
小强到体育用品商店购买羽毛球球拍和乒乓球球拍,已知购买1副羽毛球球拍和1副乒乓球球拍共需50元,小强一共用320元购买了6副同样的羽毛球拍和10副同样的乒乓球拍.若设每副羽毛球拍为x元,每副乒乓球拍为y元,根据题意,下面所列方程组正确的是( )
A. B. C. D.