题目内容
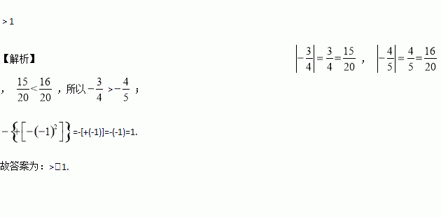
比较大小: ______. = ________。
将正六边形绕其对称中心旋转后,恰好能与原来的正六边形重合,那么旋转的角度至少是 ( )
A. 120° B. 60° C. 45° D. 30°
已知a,b两数在数轴上对应的点如图所示,下列结论正确的是( )
A. a+b>0 B. |a|>|b| C. ab<0 D. b﹣a<0
先化简下列各数,再分别用字母A、B、C、D、E、F在数轴上表示出来,并把原数按从小到大的顺序连接起来: -32, -︱-2.5︱, -(-2), 0, -(-1)100, -︱-4︱
若+|y-3|=0,则的值为_____.
下列各组数中,不相等的一组是( )
A. (﹣2)3和﹣23 B. (﹣2)2和﹣22
C. (﹣2)和﹣2 D. |﹣2|3和|2|3
的相反数是( )
A. B. ﹣ C. ﹣2017 D. 2017
圆锥的侧面展开图是半径为3cm的半圆,则此圆锥的底面半径________.
将下列各数在数轴上表示出来,并将他们用“<”连接起来(注意: “<”连接用原数表示)。
, 0 , ,