题目内容
如图是我国空军“八一”飞行表演队在珠海国际航展上的一个飞行队形,若轰炸机A、B的平面坐标分别为A(-3,1)和B(1,-1),那么轰炸机C的平面坐标是_______.
计算:+()﹣1﹣4cos45°﹣()0.
计算:
如图,在平面直角坐标系中,长方形OABC的边OC、OA分别在x轴、y轴上,B点在第一象限,点A的坐标是(0,4),OC=8.
(1)直接写出点B、C的坐标;
(2)点P从原点O出发,在边OC上以每秒1个单位长度的速度匀速向C点移动,同时点Q从点B出发,在边BA上以每秒2个单位长度的速度匀速向A点移动,当一个点到达终点时,另一个点随之停止移动,设移动的时间为t秒钟,探究下列问题:
① 当t值为多少时,直线PQ∥y轴?
② 在整个运动过程中,能否使得四边形BCPQ的面积是长方形OABC的面积的?若能,请直接写出P、Q两点的坐标;若不能,说明理由.
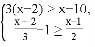
解不等式组:并把解集在给定的数轴上表示出来.
的平方根是__________.
已知点P(a+1,-3)在平面直角坐标系中第四象限内,则的取值不可能是( ).
A. 3 B. 2 C. 0 D. -2
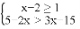
不等式组的解集为_____.
如图,已知长方形ABCD,AB=CD=4,AD=BC=6,E为CD边的中点,P为长方形ABCD边上的动点,动点P从A出发,沿着A→B→C→E运动到E点停止,设点P经过的路程为x,△APE的面积为y.
(1)求当x=2时,x=5时,对应y的值;
(2)当4<x<10时,写出y与x之间的关系式;
(3)当P在线段BC上运动时,是否存在点P使得△APE的周长最小,若存在,求出△APE的周长的最小值,并求出此时∠PAD的度数,若不存在,请说明理由.