题目内容
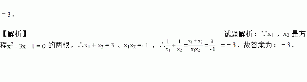
已知,是方程的两根,则=________.
已知M=x2-3x-2,N=2x2-3x-1,则M______N.(填“<”“>”或“=”)
如果定义运算符号“⊕”为a⊕b=a+b+ab-1,那么3⊕2的值为( )
A. 12 B. 11 C. 10 D. 9
若代数式x-的值是2,则x的值是( )
A. 0.75 B. 1.75 C. 1.5 D. 3.5
如图所示,在长为32m、宽20m的矩形耕地上,修筑同样宽的三条道路(两条纵向,一条横向,横向与纵向互相垂直),把耕地分成大小不等的六块作试验田,要使试验田面积为570m2,问道路应多宽?
若一元二次方程ax2+bx+c=0(a≠0)有一个根为-1,则a、b、c的关系是______.
使分式的值等于零的x是( )
A. 6 B. -1或6 C. -1 D. -6
当x=时,代数式(x2+1)的值为( )
A. B. C. 1 D.
已知:如图,∠AOB=∠COD=90°,则∠1与∠2的关系是( )
A. 互余 B. 互补 C. 相等 D. 无法确定