题目内容
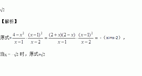
先化简,再求值:(﹣x﹣1)÷,其中x=﹣.
已知方程x2-3x+m=0的一个根是1,则它的另一个根是___,m的值为___..
解方程:
(1)x–2(5–x)=3(2x–1);
(2)–1=.
我国倡导的“一带一路”建设将促进我国与世界一些国家的互利合作,根据规划“一带一路”地区覆盖总 人口为4400000000人,这个数用科学记数法表示为
A. 44×108 B. 4.4×108 C. 4.4×109 D. 4.4×1010
已知:等腰三角形OAB在直角坐标系中的位置如图,点A的坐标为(-3,3),点B的坐标为(﹣6,0).
(1)若三角形OAB关于y轴的轴对称图形是三角形OA′B′,请直接写出A、B的对称点A′、B′的坐标;
(2)若将三角形OAB沿x轴向右平移a个单位,此时点A恰好落在反比例函数y=的图象上,求a的值;
(3)若三角形OAB绕点O按逆时针方向旋转α度(0<α<90).
①当α=30°时点B恰好落在反比例函数y=的图象上,求k的值;
②问点A、B能否同时落在①中的反比例函数的图象上,若能,求出α的值;若不能,请说明理由.
某商品的利润为每件10元时,能卖500件,已知该商品每涨价1元,其销售量就要减少10件,为了赚8000元利润,设涨价为x元,应列方程为_____.
下列各式计算正确的是( )
A. a2+a2=a4 B. (3x)2=6x2 C. (x2)3=x6 D. (x+y)2=x2+y2
已知方程x2﹣6x+m=0有一个根是2,则另一个根是 ,m= .
计算:
(1)-3-7;
(2);
(3)-0.5+(-15.5)-(-17)-|-12|
(4)
(5)
(6)[1-(1-0.5×)]×-(-62 ).