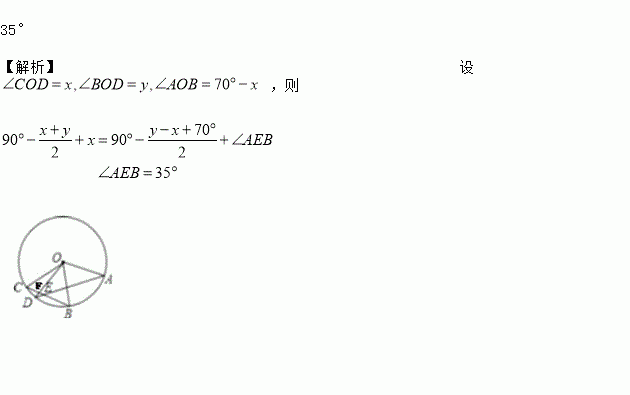
题目内容
如图,在⊙O中,∠AOB+∠COD=70°,AD与BC交于点E,则∠AEB的度数为____________ .
请你写出一个无理数______.
点到直线的距离是指这点到这条直线的( )
A. 垂线段 B. 垂线 C. 垂线的长度 D. 垂线段的长度
计算的结果是( )
A. B. C. D. 以上都不对
已知⊙O的外切等腰梯形ABCD的腰长为10,⊙O的半径为3,求等腰梯形ABCD的面积及下底的长.
如图,PA、PB是⊙0的切线,A、B为切点,AC是⊙O的直径,∠P=40°,则∠BAC=________.
如图,AD、BC是⊙O的两条互相垂直的直径,点P从点O出发,沿O→C→D→O的路线匀速运动.设∠APB=y(单位:度),那么y与点P运动的时间x(单位:秒)的关系图是( )
已知一个多边形的内角和是1620°,则这个多边形是_____边形.
小明想:2015年世博会将在意大利米兰举行,设计一个内角和是2015°的多边形图案多有意义啊!你同意小明的想法吗?为什么?