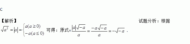
题目内容
化简 a<0得( )
A. B. - C. - D.
我国明代珠算家程大位的名著《直指算法统宗》里有一道著名算题:“一百馒头一百僧,大僧三个更无争,小僧三人分一个,大小和尚各几丁?”意思是:有100个和尚分100个馒头,如果大和尚1人分3个,小和尚3人分1个,正好分完,试问大、小和尚各多少人?设大和尚有x人,依题意列方程得( )
A. B.
C. D.
如图,直线AB,CD相交于点O,OM⊥AB,若∠COB=135°,则∠MOD等于( )
A. 45° B. 35° C. 25° D. 15°
在同一平面内,过一点__________一条直线与已知直线垂直.
(+)÷(+-)(a≠b).
若+=0,则(x-1)2+(y+3)2=____________.
化简=__.
惠农种子公司以一定价格销售“丰收一号”玉米种子,如果一次购买10千克以上(不含10千克)的种子,超过10千克的那部分种子的价格将打折,并依此得到付款金额y(单位:元)与一次购买种子数量x(单位:千克)之间函数关系如图所示.下列四种说法:①一次购买30千克种子时,付款金额为1 000元;②一次购买种子数量不超过10千克时,销售价格为50元/千克;③一次购买10千克以上种子时,超过10千克的那部分种子的价格打五折;④一次购买40千克种子比分两次购买且每次购买20千克种子少花200元钱,其中正确的个数是( )
A. 1 B. 2 C. 3 D. 4
下列方程中,无实数根的是( )
A. x2=4 B. x2=2 C. 4x2+25=0 D. 4x2-25=0