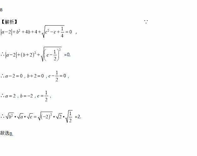
题目内容
若,则=( )
A. 4 B. 2 C. -2 D. 1
如图,已知在△ABC中,∠B=90°,AB=8cm,BC=6cm,点P从点A开始沿△ABC的边做逆时针运动,且速度为每秒1cm;点Q从点B开始沿△ABC的边做逆时针运动,且速度为每秒2cm,他们同时出发,设运动时间为t秒.
(1)出发2秒后,P,Q两点间的距离为多少cm?
(2)在运动过程中,△PQB能形成等腰三角形吗?若能,请求出几秒后第一次形成等腰三角形;若不能,则说明理由.
(3)出发几秒后,线段PQ第一次把△ABC的周长分成相等两部分?
小颖家到学校1200米,其中有一段为上坡路,另一段为下坡路,她去学校共用了16分钟。假设小颖上坡路的平均速度是3千米/时,下坡路的平均速度是5千米/时,若设小颖上坡用了x分钟,下坡用了y分钟。则可列方程组为( )
A. B. C. D.
计算:(1) (2)
已知如图,矩形ABCD中,BD=5cm,BC=4cm,E是边AD上一点,且BE = ED,P是对角线上任意一点,PF⊥BE,PG⊥AD,垂足分别为F、G.则PF + PG的长为( ).
A. 2.5 cm B. 2.8 cm C. 3 cm D. 3.5 cm
三角形的三边为a、b、c,由下列条件不能判断它是直角三角形的是( )
A. a:b:c =13∶5∶12 B. a2-b2=c2
C. a2=(b+c)(b-c) D. a:b:c=8∶16∶17
如图①,将射线Ox按逆时针方向旋转β,得到的射线Oy,如果P为射线Oy上的一点,且OP=a,那么我们规定用(a,β)表示点P在平面内的位置,并记为(a,β).例如,图②中,如果OM=8,∠xOM=110°,那么点M在平面内的位置记为M(8,110°),根据图形,解答下列问题:
(1)如图③,如果点N在平面内的位置记为N(6,30°),那么ON=__ __,∠xON= .
(2)如果点A,B在平面内的位置分别记为A(5,30°),B(12,120°),求A,B两点之间的距离.
在坐标系中,已知A(2,0),B(-3,-4),C(0,0),则△ABC的面积为( )
A. 4 B. 6 C. 8 D. 3
如图,在等腰△ABC中,AB=AC,∠BAC=50°.∠BAC的平分线与线段AB的中垂线交于点O,点C沿EF折叠后与点O重合,则∠AOF的度数是( )
A.105° B.110° C.115° D.120°