题目内容
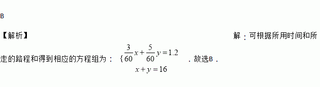
小颖家到学校1200米,其中有一段为上坡路,另一段为下坡路,她去学校共用了16分钟。假设小颖上坡路的平均速度是3千米/时,下坡路的平均速度是5千米/时,若设小颖上坡用了x分钟,下坡用了y分钟。则可列方程组为( )
A.
B.
C.
D. ![]()
练习册系列答案
相关题目
题目内容
小颖家到学校1200米,其中有一段为上坡路,另一段为下坡路,她去学校共用了16分钟。假设小颖上坡路的平均速度是3千米/时,下坡路的平均速度是5千米/时,若设小颖上坡用了x分钟,下坡用了y分钟。则可列方程组为( )
A.
B.
C.
D. ![]()