题目内容
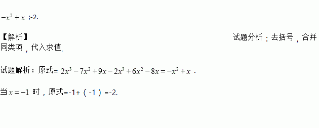
先化简,再求值: ,其中 .
已知函数y=(m+1)是反比例函数,则m的值为 .
甲、乙两商场自行定价销售某一商品.
(1)甲商场将该商品提价15%后的售价为1.15元,则该商品在甲商场的原价为 ▲ 元;
(2)乙商场将该商品提价20%后,用6元钱购买该商品的件数比没提价前少买1件,求该商品在乙商场的原价是多少?
(3)在(1)、(2)小题的条件下,甲、乙两商场把该商品均按原价进行了两次价格调整.
甲商场:第一次提价的百分率是,第二次提价的百分率是;
乙商场:两次提价的百分率都是(.
请问甲、乙两商场,哪个商场的提价较多?请说明理由.
若则 ▲ .
下列调查中,最适合采用全面调查(普查)方式的是( )
A. 对重庆市辖区内长江流域水质情况的调查
B. 对乘坐飞机的旅客是否携带违禁物品的调查
C. 对一个社区每天丢弃塑料袋数量的调查
D. 对重庆电视台“天天630”栏目收视率的调查
下列说法:①若a与b互为相反数,则a+b=0;②若ab=1,则a与b互为倒数;③两点之间,直线最短;④若∠α+∠β=90°,且β与γ互余,则∠α与∠γ互余;⑤若∠α为锐角,且∠α与∠β互补,∠α与∠γ互余,则∠β-∠γ=90°.其中正确的有________.(填序号)
下列说法:?若C是AB的中点,则AC=BC;?若AC=BC,则点C是AB的中点;?若OC是∠AOB的平分线,则∠AOC=∠AOB;④若∠AOC=∠AOB,则OC是∠AOB的平分线,其中正确的有( )
A. 1个 B. 3个 C. 2个 D. 4个
若x1、x2是方程2x2﹣3x﹣4=0的两个根,则x1•x2+x1+x2的值为 .
如图1,圆锥底面圆半径为1,母线长为4,图2为其侧面展开图.
(1)求阴影部分面积(π可作为最后结果);
(2)母线SC是一条蜜糖线,一只蚂蚁从A沿着圆锥表面最少需要爬多远才能吃到蜜糖?